1059. All Paths from Source Lead to Destination

Given the edges of a directed graph, and two nodes source and destination of this graph, determine whether or not all paths starting from source eventually end at destination , that is:

Return true if and only if all roads from source lead to destination .

 

Example 1:

Input: 

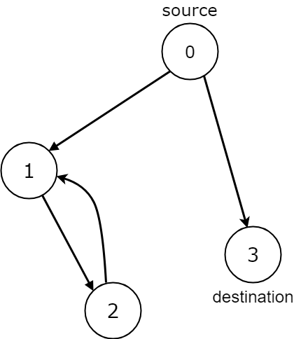
n = 3, edges = 
[[0,1],[0,2]]

, source = 
0

, destination = 2
Output: 

false

Explanation: 

It is possible to reach and get stuck on both node 1 and node 2.

Example 2:

Input: 

n = 
4

, edges = 
[[0,1],[0,3],[1,2],[2,1]]

, source = 
0

, destination = 
3

Output: 

false

Explanation: 

We have two possibilities: to end at node 3, or to loop over node 1 and node 2 indefinitely.

Example 3:

Input: 

n = 
4

, edges = 
[[0,1],[0,2],[1,3],[2,3]]

, source = 
0

, destination = 
3

Output: 

true

Example 4:

Input: 

n = 
3

, edges = 
[[0,1],[1,1],[1,2]]

, source = 
0

, destination = 
2

Output: 

false

Explanation: 

All paths from the source node end at the destination node, but there are an infinite number of paths, such as 0-1-2, 0-1-1-2, 0-1-1-1-2, 0-1-1-1-1-2, and so on.

Example 5:

Input: 

n = 
2

, edges = 
[[0,1],[1,1]]

, source = 
0

, destination = 
1

Output: 

false

Explanation: 

There is infinite self-loop at destination node.

 

Note:

  1. The given graph may have self loops and parallel edges.
  2. The number of nodes n in the graph is between 1 and 10000
  3. The number of edges in the graph is between 0 and 10000
  4. 0 <= edges.length <= 10000
  5. edges[i].length == 2
  6. 0 <= source <= n - 1
  7. 0 <= destination <= n - 1

Difficulty:

Medium

Lock:

Prime

Company:

Google