1214. Two Sum BSTs

Given two binary search trees, return True  if and only if there is a node in the first tree and a node in the second tree whose values sum up to a given integer  target .

 

Example 1:

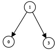
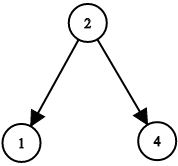
Input:

 root1 = [2,1,4], root2 = [1,0,3], target = 5
Output:

 true
Explanation: 

2 and 3 sum up to 5.

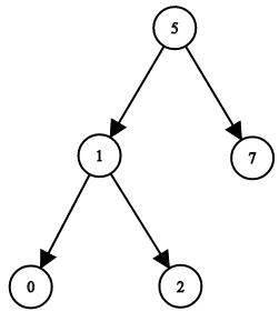
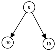
Example 2:

Input:

 root1 = [0,-10,10], root2 = [5,1,7,0,2], target = 18
Output:

 false

 

Constraints:

Difficulty:

Medium

Lock:

Prime

Company:

Amazon

Solution(Chinese):

LEETCODE 1214. Two Sum BSTs 解题思路分析