Given an undirected tree, return its diameter: the number of edges in a longest path in that tree.
The tree is given as an array of
edges
where
edges[i] = [u, v]
is a bidirectional edge between nodes
u
and
v
. Each node has labels in the set
{0, 1, ..., edges.length}
.
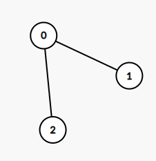
Example 1:
Input: edges = [[0,1],[0,2]] Output: 2 Explanation: A longest path of the tree is the path 1 - 0 - 2.
Example 2:
Input: edges = [[0,1],[1,2],[2,3],[1,4],[4,5]] Output: 4 Explanation: A longest path of the tree is the path 3 - 2 - 1 - 4 - 5.
Constraints:
0 <= edges.length < 10^4
edges[i][0] != edges[i][1]
0 <= edges[i][j] <= edges.length
给你这棵「无向树」,请你测算并返回它的「直径」:这棵树上最长简单路径的 边数。
我们用一个由所有「边」组成的数组 edges 来表示一棵无向树,其中 edges[i] = [u, v] 表示节点 u 和 v 之间的双向边。
树上的节点都已经用 {0, 1, ..., edges.length} 中的数做了标记,每个节点上的标记都是独一无二的。
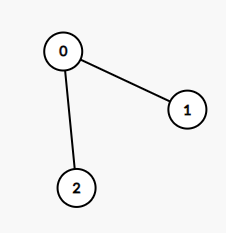
示例 1:

输入:edges = [[0,1],[0,2]] 输出:2 解释: 这棵树上最长的路径是 1 - 0 - 2,边数为 2。
示例 2:

输入:edges = [[0,1],[1,2],[2,3],[1,4],[4,5]] 输出:4 解释: 这棵树上最长的路径是 3 - 2 - 1 - 4 - 5,边数为 4。
提示:
edges 会形成一棵无向树