426. Convert Binary Search Tree to Sorted Doubly Linked List

Convert a BST to a sorted circular doubly-linked list in-place. Think of the left and right pointers as synonymous to the previous and next pointers in a doubly-linked list.

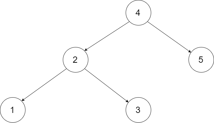
Let's take the following BST as an example, it may help you understand the problem better:

 

 

We want to transform this BST into a circular doubly linked list. Each node in a doubly linked list has a predecessor and successor. For a circular doubly linked list, the predecessor of the first element is the last element, and the successor of the last element is the first element.

The figure below shows the circular doubly linked list for the BST above. The "head" symbol means the node it points to is the smallest element of the linked list.

 

 

Specifically, we want to do the transformation in place. After the transformation, the left pointer of the tree node should point to its predecessor, and the right pointer should point to its successor. We should return the pointer to the first element of the linked list.

The figure below shows the transformed BST. The solid line indicates the successor relationship, while the dashed line means the predecessor relationship.

 

1、题目描述

将一个二叉搜索树就地转化为一个已排序的双向循环链表。可以将左右孩子指针作为双向循环链表的前驱和后继指针。

为了让您更好地理解问题,以下面的二叉搜索树为例:

img

我们希望将这个二叉搜索树转化为双向循环链表。链表中的每个节点都有一个前驱和后继指针。对于双向循环链表,第一个节点的前驱是最后一个节点,最后一个节点的后继是第一个节点。

下图展示了上面的二叉搜索树转化成的链表。“head” 表示指向链表中有最小元素的节点。

img

特别地,我们希望可以就地完成转换操作。当转化完成以后,树中节点的左指针需要指向前驱,树中节点的右指针需要指向后继。还需要返回链表中的第一个节点的指针。

下图显示了转化后的二叉搜索树,实线表示后继关系,虚线表示前驱关系。

img

Difficulty:

Medium

Lock:

Prime

Company:

Amazon Bloomberg Databricks Facebook Google Lyft Microsoft Oracle