428. Serialize and Deserialize N-ary Tree

Serialization is the process of converting a data structure or object into a sequence of bits so that it can be stored in a file or memory buffer, or transmitted across a network connection link to be reconstructed later in the same or another computer environment.

Design an algorithm to serialize and deserialize an N-ary tree. An N-ary tree is a rooted tree in which each node has no more than N children. There is no restriction on how your serialization/deserialization algorithm should work. You just need to ensure that an N-ary tree can be serialized to a string and this string can be deserialized to the original tree structure.

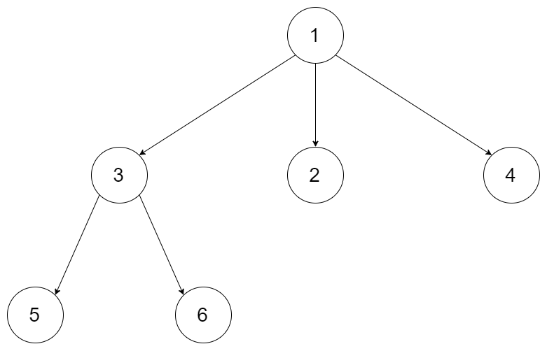
For example, you may serialize the following 3-ary tree

 

 

as [1 [3[5 6] 2 4]] . You do not necessarily need to follow this format, so please be creative and come up with different approaches yourself.

 

Note:

  1. N is in the range of [1, 1000]
  2. Do not use class member/global/static variables to store states. Your serialize and deserialize algorithms should be stateless.

1、题目描述

序列化是指将一个数据结构转化为位序列的过程,因此可以将其存储在文件中或内存缓冲区中,以便稍后在相同或不同的计算机环境中恢复结构。

设计一个序列化和反序列化 N 叉树的算法。一个 N 叉树是指每个节点都有不超过 N 个孩子节点的有根树。序列化 / 反序列化算法的算法实现没有限制。你只需要保证 N 叉树可以被序列化为一个字符串并且该字符串可以被反序列化成原树结构即可。

例如,你需要序列化下面的 3-叉 树。

img

[1 [3[5 6] 2 4]]。你不需要以这种形式完成,你可以自己创造和实现不同的方法。

注意:

Difficulty:

Hard

Lock:

Prime

Company:

Amazon Apple eBay Facebook Google LinkedIn Microsoft Pinterest Uber